background image

Researcher Report

Visualize research, collaboration, and most cited documents for a Person.
Person Name or ID: Tu, Meng-Ru | Date range: 2016 - 2022 | Include ESCI documents

InCites

1 of 8

© 2022 Clarivate

/var/www/html/scholars/inCites/rp00339/rp00339-html.html
background image

Research Output

Overview

H-Index = 4
Documents Published
 = 7
Times Cited
 = 182
% Documents in top 10%
 = 28.57

Documents Published by WOS Categories In which categories are authors publishing most?

Production

InCites

2 of 8

© 2022 Clarivate

/var/www/html/scholars/inCites/rp00339/rp00339-html.html
background image

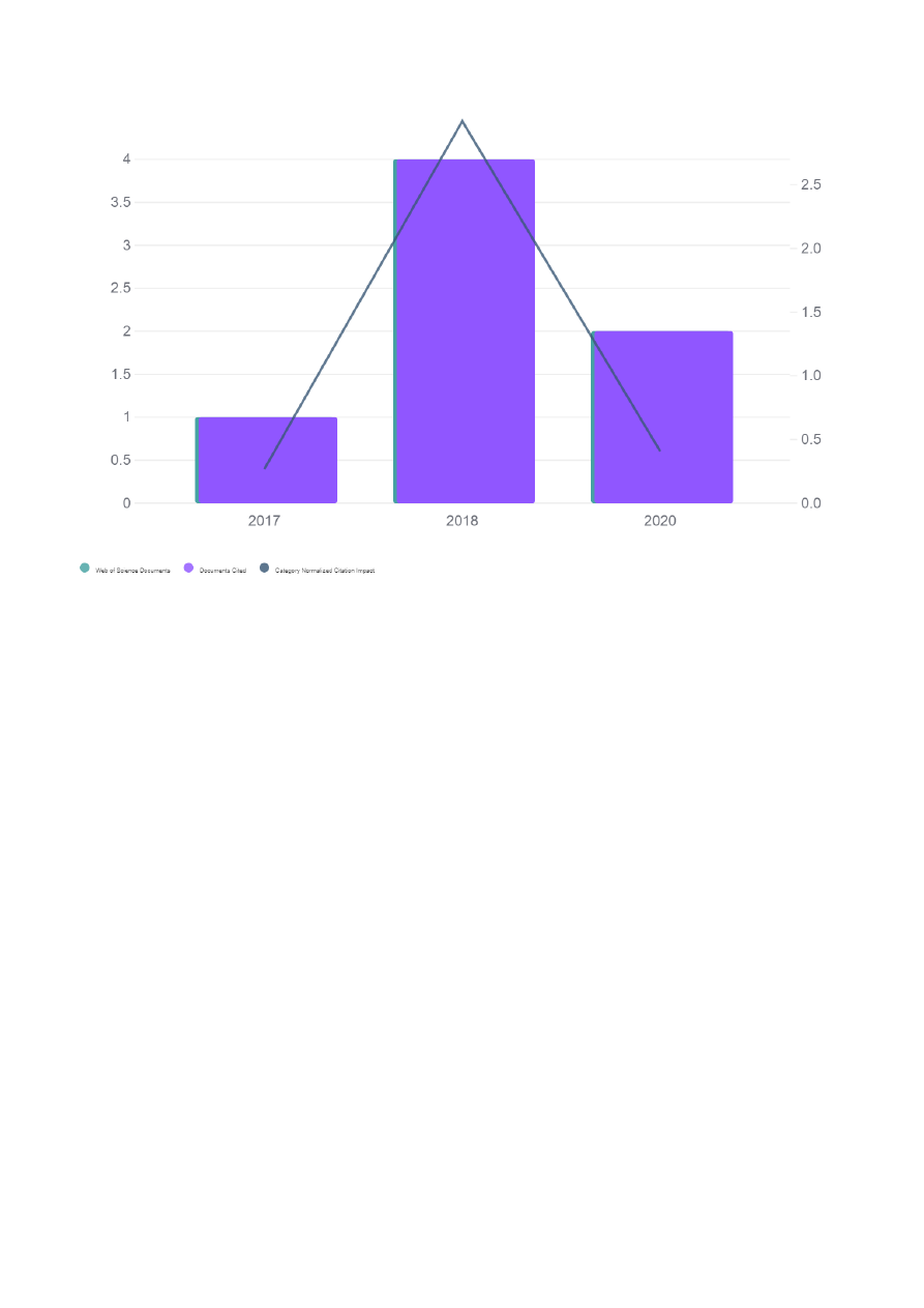
Documents Published and Citations per Year How many citations compared to documents 

published?

InCites

3 of 8

© 2022 Clarivate

/var/www/html/scholars/inCites/rp00339/rp00339-html.html
background image

Journal Normalized Citation Impact by Journal In which high impact journals are the authors' 

publishing their work?

InCites

4 of 8

© 2022 Clarivate

/var/www/html/scholars/inCites/rp00339/rp00339-html.html
background image

Citation Topic WordCloud The micro citation topic word cloud based on the Researcher

Performance

Documents Published by JIF Quartile per Year corresponding to their Publication year How many 
documents have authors published in highly cited journals?

InCites

5 of 8

© 2022 Clarivate

/var/www/html/scholars/inCites/rp00339/rp00339-html.html
background image

% Documents Published by JIF Quartile corresponding to their Publication year What percentage 

of documents have authors published in highly cited journals?

Citation Impact by WOS Categories In which categories are authors having the most citation impact?

InCites

6 of 8

© 2022 Clarivate

/var/www/html/scholars/inCites/rp00339/rp00339-html.html
background image

Collaboration

Overview

International Collaborations = 2
% International Collaborations
 = 28.57
Industry Collaborations
 = 0
% Industry Collaborations
 = 0.00

Collaborating Institutions

Collaborating Organizations Which collaborating institutions are publishing the most?

InCites

7 of 8

© 2022 Clarivate

/var/www/html/scholars/inCites/rp00339/rp00339-html.html
background image

Most Cited Documents

Most Cited Web of Science Documents

Article Title

Times 

Cited

An exploratory study of Internet of Things (IoT) adoption intention in logistics and 
supply chain management: A mixed research approach
INTERNATIONAL JOURNAL OF LOGISTICS MANAGEMENT
2018

93

IoT-based production logistics and supply chain system - Part 1 Modeling IoT-based 

manufacturing IoT supply chain
INDUSTRIAL MANAGEMENT & DATA SYSTEMS
2018

46

IoT-based production logistics and supply chain system - Part 2 IoT-based cyber-
physical system: a framework and evaluation

INDUSTRIAL MANAGEMENT & DATA SYSTEMS

2018

31

Utilizing the fuzzy IoT to reduce Green Harbor emissions
JOURNAL OF AMBIENT INTELLIGENCE AND HUMANIZED COMPUTING

2020

4

Deteriorating inventory model for ready-to-eat food under fuzzy environment

INTERNATIONAL JOURNAL OF LOGISTICS-RESEARCH AND APPLICATIONS
2017

4

Using a heuristic multi-objective genetic algorithm to solve the storage assignment 
problem for CPS-based pick-and-pass system
ENTERPRISE INFORMATION SYSTEMS

2020

2

OPTIMAL IMPERFECT PREVENTIVE MAINTENANCE LOGISTIC INVENTORY MODEL WITH 
BACKORDER AND MINIMAL REPAIR

JOURNAL OF MARINE SCIENCE AND TECHNOLOGY-TAIWAN
2018

2

InCites

8 of 8

© 2022 Clarivate