background image

Researcher Report

Visualize research, collaboration, and most cited documents for a Person.
Person Name or ID: Chou, Wei-Hsuan | Date range: 2016 - 2022 | Include ESCI documents

InCites

1 of 8

© 2022 Clarivate

/var/www/html/scholars/inCites/rp00330/rp00330-html.html
background image

Research Output

Overview

H-Index = 1
Documents Published
 = 3
Times Cited
 = 2
% Documents in top 10%
 = 0.00

Documents Published by WOS Categories In which categories are authors publishing most?

Production

InCites

2 of 8

© 2022 Clarivate

/var/www/html/scholars/inCites/rp00330/rp00330-html.html
background image

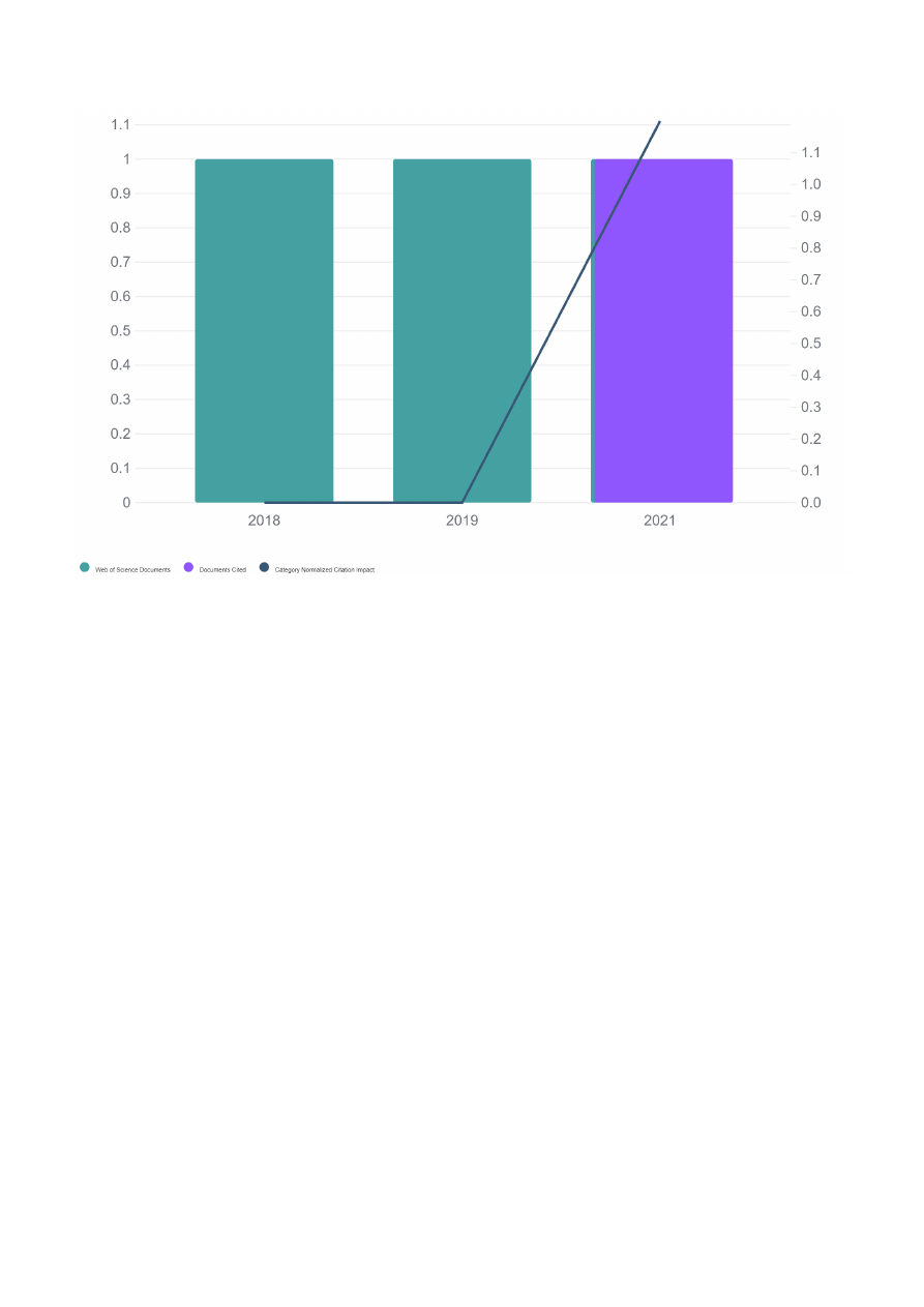
Documents Published and Citations per Year How many citations compared to documents 

published?

InCites

3 of 8

© 2022 Clarivate

/var/www/html/scholars/inCites/rp00330/rp00330-html.html
background image

Journal Normalized Citation Impact by Journal In which high impact journals are the authors' 

publishing their work?

InCites

4 of 8

© 2022 Clarivate

/var/www/html/scholars/inCites/rp00330/rp00330-html.html
background image

Citation Topic WordCloud The micro citation topic word cloud based on the Researcher

Performance

Documents Published by JIF Quartile per Year corresponding to their Publication year How many 
documents have authors published in highly cited journals?

InCites

5 of 8

© 2022 Clarivate

/var/www/html/scholars/inCites/rp00330/rp00330-html.html
background image

% Documents Published by JIF Quartile corresponding to their Publication year What percentage 

of documents have authors published in highly cited journals?

Citation Impact by WOS Categories In which categories are authors having the most citation impact?

InCites

6 of 8

© 2022 Clarivate

/var/www/html/scholars/inCites/rp00330/rp00330-html.html
background image

Collaboration

Overview

International Collaborations = 0
% International Collaborations
 = 0.00
Industry Collaborations
 = 0
% Industry Collaborations
 = 0.00

Collaborating Institutions

Collaborating Organizations Which collaborating institutions are publishing the most?

InCites

7 of 8

© 2022 Clarivate

/var/www/html/scholars/inCites/rp00330/rp00330-html.html
background image

Most Cited Documents

Most Cited Web of Science Documents

Article Title

Times 

Cited

Examining the key drivers for regional revitalization based upon social network 
analysis: A case study of Badouzi in Taiwan
MARINE POLICY
2021

2

Discussion on Confucianism's Reconciliation to Contemporary Democracy: The Analysis 

on Perspective of Harmonious Relation between "Courtesy and Righteousness" 
Proposed by Mencius and Hsun Tzu
UNIVERSITAS-MONTHLY REVIEW OF PHILOSOPHY AND CULTURE
2019

0

Teaching Effectiveness of Adopting the World Cafe Model to Promote College Students' 

Civic Participation

JOURNAL OF RESEARCH IN EDUCATION SCIENCES
2018

0

InCites

8 of 8

© 2022 Clarivate