background image

Researcher Report

Visualize research, collaboration, and most cited documents for a Person.
Person Name or ID: Hsiao, Tsung-Yuan | Date range: 2016 - 2022 | Include ESCI documents

InCites

1 of 8

© 2022 Clarivate

/var/www/html/scholars/inCites/rp00140/rp00140-html.html
background image

Research Output

Overview

H-Index = 2
Documents Published
 = 3
Times Cited
 = 36
% Documents in top 10%
 = 33.33

Documents Published by WOS Categories In which categories are authors publishing most?

Production

InCites

2 of 8

© 2022 Clarivate

/var/www/html/scholars/inCites/rp00140/rp00140-html.html
background image

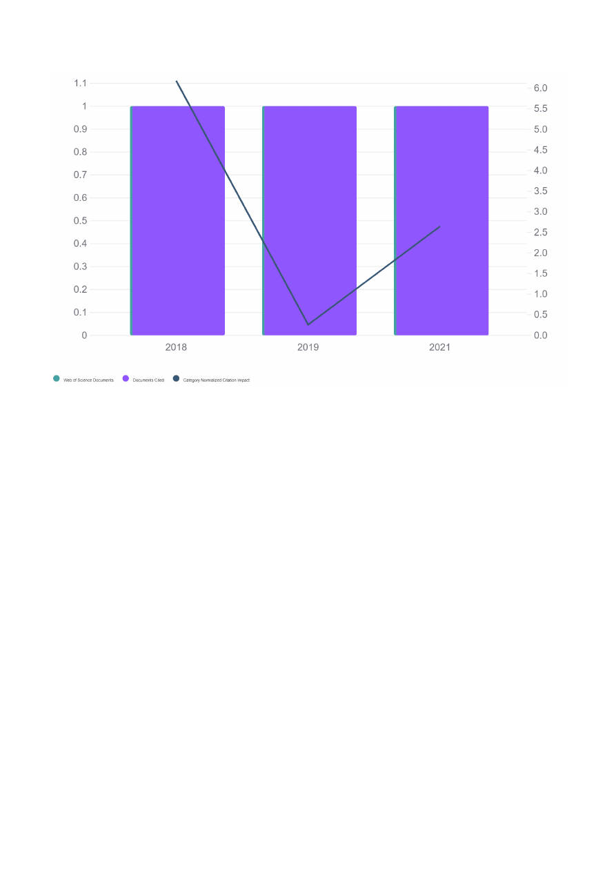
Documents Published and Citations per Year How many citations compared to documents 

published?

InCites

3 of 8

© 2022 Clarivate

/var/www/html/scholars/inCites/rp00140/rp00140-html.html
background image

Journal Normalized Citation Impact by Journal In which high impact journals are the authors' 

publishing their work?

InCites

4 of 8

© 2022 Clarivate

/var/www/html/scholars/inCites/rp00140/rp00140-html.html
background image

Citation Topic WordCloud The micro citation topic word cloud based on the Researcher

Performance

Documents Published by JIF Quartile per Year corresponding to their Publication year How many 
documents have authors published in highly cited journals?

InCites

5 of 8

© 2022 Clarivate

/var/www/html/scholars/inCites/rp00140/rp00140-html.html
background image

% Documents Published by JIF Quartile corresponding to their Publication year What percentage 

of documents have authors published in highly cited journals?

Citation Impact by WOS Categories In which categories are authors having the most citation impact?

InCites

6 of 8

© 2022 Clarivate

/var/www/html/scholars/inCites/rp00140/rp00140-html.html
background image

Collaboration

Overview

International Collaborations = 1
% International Collaborations
 = 33.33
Industry Collaborations
 = 0
% Industry Collaborations
 = 0.00

Collaborating Institutions

Collaborating Organizations Which collaborating institutions are publishing the most?

InCites

7 of 8

© 2022 Clarivate

/var/www/html/scholars/inCites/rp00140/rp00140-html.html
background image

Most Cited Documents

Most Cited Web of Science Documents

Article Title

Times 

Cited

The effectiveness of digital game-based vocabulary learning: A framework-based 
view of meta-analysis
BRITISH JOURNAL OF EDUCATIONAL TECHNOLOGY
2018

32

Toward a Motivation-Regulated Learner Engagement WCF Model of L2 Writing 

Performance
SAGE OPEN
2021

3

Validating a Motivational Process Model for Mobile-Assisted Language Learning
ENGLISH TEACHING AND LEARNING

2019

1

InCites

8 of 8

© 2022 Clarivate